Our Contracted Water System Manager, Bill Neal, provided a report to the Board concerning the handling and disposal of repaired pipe and replacement. His explanation and report lack the extreme seriousness of the situation. This should not be new information for him or Gil. I would expect that North Beach Water now has the same problem.
I did not know until recently that our former Water/Field Superintendent, Bob Haskin, was working with the then General Manager, Barbra Robinson, on a procedure to meet the safety requirements associated with AC pipe. Bob was fired and Mrs. Robinson quit. This is where the ball was dropped and unsafe practice continued for years. Now you and I are going to pay the price, as well as the many who have been exposed to the asbestos fibers. Their price is much more significant then ours.
July is the automatic contract renewal with 2% increase for the services of Bill Neal and North Beach Water. (hell of a deal)
| From this to our own toxic dump site |
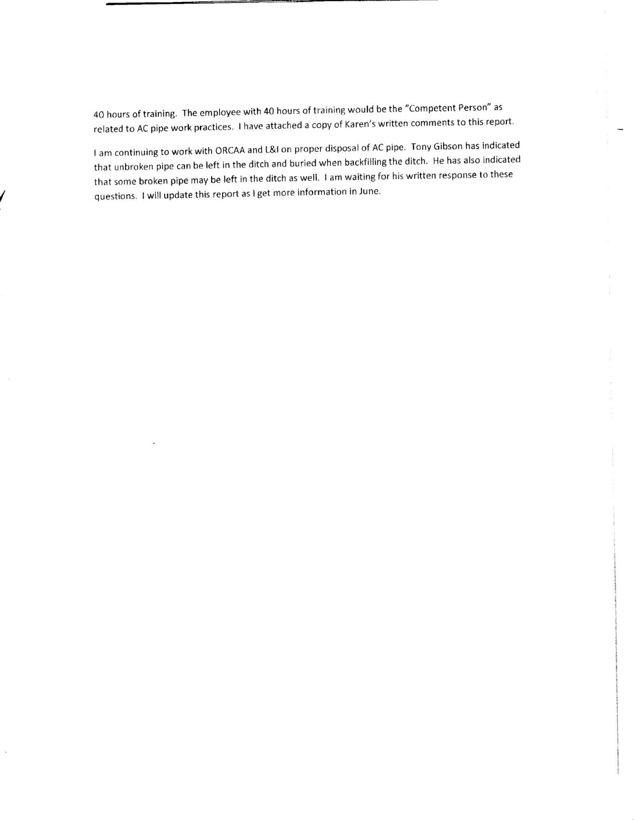
Click once or twice on each page below of the 2 page report for a larger read.


5 comments:
So basically any past and present employees that dealt with pipe in past are not considered in Mr. Neal’s report? So just die n be forgotten?
Surfside employees and resident members should seek out and volunteer to participate in mesothelioma clinical studies. We have all been exposed to breathing in asbestos due to the work practices designated by the uninformed and uncaring contracted well driller. What is the holdup in firing this incompetent jerk?
Appears that Mr. Neal is a life long learner,he's just learned something new, got it handled.
That is a strange statement to make considering that Mr. Neal was fully aware that the old pipe was made in part, of asbestos, and entirely dismissed the dire warnings associated with handling and disposing of the pipe. It seems clear that Mr. Neal is unable to perform adequately when he is the key person of responsibility.
Apparently he does not learn. The new replacement pipe was to be stored indoors, and it sat for years out in the weather. They have been dumping the old pipe on the ground near the Waterworks for years now. Ignoring proper procedures when he knows proper procedures are not being followed, is a major concern when he is responsible for the entire community's health through monitored water quality.
He is paid generously for his services, yet seems lazy about important details.
I'm getting older and more fragile. I don't think that I can afford any more of the well drillers experiments with his continuing education. When I say afford, I mean both health and money issues. Neal needs to go. His lame excuses for over-spending, on-the-job mistakes and general poor job performance should be done yesterday.
Post a Comment